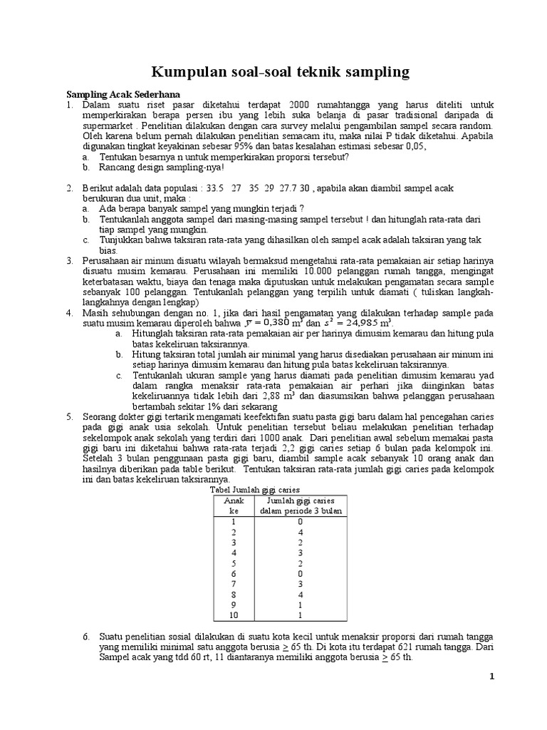
Contoh Soal Sampling Sistematis
Populasi N10 akan diambil sampel n3 secara linear systematic. Systematic Sampling Sampling Sistematis Teknik pengambilan sampel ini dilakukan dengan cara atau secara sistematis yaitu dengan proses awal acak.
Jadi setiap orang yang datang di urutan 102030 dan seterusnya maka itulah yang dijadikan sampel penelitian.

Contoh soal sampling sistematis. Pada mulanya mirip dengan random sampling peneliti memberi nomor seluruh populasi. Contoh dari teknik ini adalah untuk menghentikan orang di jalan untuk pendapat mereka atau untuk. Mirip dengan seleksi acak para peneliti awalnya memberikan angka untuk seluruh populasi.
Systematic Sampling merupakan cara pengambilan sampel dimana sampel pertama ditentukan secara acak sedangkan sampel berikutnya dimabil berdasarkan satu interval tertentu. We expect that the samples taken represents the whole population sufficiently or at least reasonably. Ini adalah random sampling.
B 80200 x 60 24 0rang. Contoh Soal Sampling Audit 6 PETUNJUK. Kedua tetapkan nilai k 5.
Pada mulanya ibarat dengan random sampling peneliti memberi nomor seluruh populasi. Banyaknya sampel masing-masing tiap bagian. Menghitung interval s r u u.
Telah disediakan lembar yang berisi rumus-rumus yang dapat membantu menjawab soal. C 70200 x 60 21 0rang. Teknik sampling ini dilakukan secara sistematis dengan proses awal yang random.
Pilihlah satu jawaban yang paling benar antara a b c atau d. 12345 12345 12345 Jika diambil 3 sampel dan dengan pengacakan yang dimulai dari 2 dan interval k 5 maka sampel sistematiknya. Baris Kolom 1-5 1 8 8 3 4 7 2 5 7 1 40 3 7 4 6 8 6 4 6 8 0 1 3 5 5 7 4 7 7.
Narapidana di Indonesia Pengangguran di Indonesia. Memberi nomor urut secara acak pada 100 orang karyawan tersebut dari 1 2 3 sampai 100. Pertama susun sampling frame.
K10010 10 berarti ada 10 kelompok tidak boleh lebh dari 10 kelompok. Diketahui sebaran populasi untuk A 52 B 88 C35 dan D5. Dua jenis ini dapat dijelaskan bahwa yang dimaksud populasi homogen adalah sumber data yang unsurnya memiliki sifat yang sama sehingga tidak perlu dipersoalkan jumlahnya secara kuantitatif.
Setiap elemen populasi dipilih dengan suatu jarak interval dan dimulai secara random dan selanjutnya dipilih sampelnya pada setiap jarak interval tertentu. Buruh tani penggarap PNS golongan. Jadi jumlah anggota populasi 200 sedangkan besar anggota sampel 80.
Jarak interval misalnya ditentukan angka pembagi 5 6 dan 10 atau. SIMPLE RANDOM SAMPLING Annisa Ayu Utami 081118014 Bagus Hadi Prastya 081118013 Simple Random Sampling Pemilihan Sampel Acak Sederhana metode untuk memilih n unit dari N sehingga setiap elemen dari sampel yang berbeda memiliki kesempatan yang sama untuk dipilih Contoh Soal. Setelah pengacakan sampel diambil untuk setiap.
Menggunakan metode penarikan contoh sistematik berikut hasilnya. Teknik sampling ini dilakukan secara sistematis dengan proses awal yang random. Misalnya dalam satu populasi terdapat 5000 rumah.
Telah disediakan tabel-tabel yang harus dipergunakan untuk menjawab soal. 805 212 17066 Ö 1 i n y y n i P sy 216 1484. Daftar nomor populasi tersebut diurutkan kemudian urutan nomor dalam daftar diacak.
U u u Langkah 2. Sampel yang akan diambil adalah 250 rumah dengan demikian interval di antara sampel kesatu kedua dan seterusnya adalah 25. Menentukan sampel pertama dengan bantuan angka random Misal.
Berdasarkan sifat populasi dapat dibedakan menjadi populasi homogen dan populasi heterogen. Contoh penggunaan systematic sampling untuk memilih 20 sampel dari populasi yang berisi 100 elemen adalah sebagai berikut. Banyaknya sampel yang harus di ambil.
Sebuah titik awal acak juga harus dipilihsampling sistematis yang akan diterapkan hanya jika populasi tertentu secara logis homogenkarena unit sampel sistematis yang merata atas pendudukContoh. Daftar nomor populasi diurutkan sehingga urutan angka dalam daftar adalah acak. Soal terdiri atas 50 butir.
Contoh Sampel Acak Sistematis adalah pengambilan sampel pada setiap orang ke-10 yang datang ke puskesmas. Penyelesaiannnya dapat dilakukan sbb. Soal keberapa-nya satu unsur populasi bisa dijadikan sampel tergantung pada ukuran populasi dan ukuran sampel.
Misalkan sebuah supermarket ingin belajar kebiasaan membeli pelanggan mereka kemudian menggunakan sampling sistematik mereka dapat memilih setiap 10 atau 15 pelanggan memasuki supermarket dan melakukan kajian terhadap sampel ini. 1 2 3 4 5 6 7 8 9 10. Setelah diacak pada setiap perhitungan tertentu satu sampel diambil dihitung lagi satu sampel diambil lagi.
Contoh metode sampling sistematis Dari 100 orang karyawan ingin diambil secara acak sistematis 10 karyawan sebagai sampel. Misalnya setiap unsur populasi yang keenam yang bisa dijadikan sampel. Untuk A 50200 x 60 15 orang.
104 Contoh Soal Systematic Random Sampling Jawaban. Misalkan supermarket ingin belajar kebiasaan membeli pelanggan mereka kemudianmenggunakan sampling sistematik mereka dapat memilih setiap tanggal 10 atau 15. Daftar nomor populasi tersebut diurutkan lalu urutan nomor dalam daftar diacak.
Tujuan auditor menerapkan teknik sampling pada pengujian substantif adalah. Desa Jumlah Wanita y y2 1 82 6724 2 76 5776 3 83 6889. Pengambilan Sampel Acak Berstrata Stratified Random Sampling.
Contoh populasi hipotetik. 222 yang artinya homogen sehingga 𝜌 besar. Ketiga tentukan sampel pertama secara random misal diperoleh 6.
Penarikan Contoh Sistematik Systematic Sampling Author. 210 84 7056 211 80 6400 212 79 6241 Total 17066 1486800 Dugalah rata-rata jumlah penduduk wanita di propinsi tersebut serta hitung ragamnya jika diketahui jumlah populasi desa sebanyak 1484. Setelah diacak pada setiap perhitungan tertentu satu sampel diambil dihitung lagi satu sampel diambil lagi.
![]()
Contoh Soal Metode Sampling Random Seder

9 Teknik Pengambilan Sampel Sampling Dalam Penelitian

Yuk Belajar Statistik Inferensial Bersama Quipper Blog Quipper Blog
Contoh Soal Ekonometrika Download File Guru

Ielts Reading Contoh Tes Globalexam Blog

Rumus Keliling Dan Luas Lingkaran Beserta Contoh Soalnya

Rumus Geometri Beserta Contoh Soal Dan Jawaban Geometri Prisma Layang Layang

Kumpulan Soal Dan Pembahasan Materi Statistika Ukdi Undip Doc Document

Teknik Pengambilan Sampel Pengertian Tujuan Dan Contoh

Populasi Dan Sampel Ppt Download
Kumpulan Soal Dan Pembahasan Materi Statistika Ukdi Undip

Pert 3 Statistik Teknik Penarikan Sampel

Yuk Kerjakan Contoh Soal Tpa Visual Ini Biar Kamu Lebih Siap Hadapi Sbmptn

Gambar 1 Contoh Soal Instrumen Four Tier Test Yang Digunakan Dalam Download Scientific Diagram

Teknik Pengambilan Sampling Penjelasan Dan Contohnya

Soal Dan Jawaban Yang Berkaitan Dengan Pendugaan Parameter Guru Paud

Contoh Soal Populasi Dan Sampel Dalam Penelitian Dapatkan Contoh
![]()
Contoh Soal Metode Sampling Random Seder

102 Contoh Soal Simple Random Sampling Jawaban Dikdasmen

Contoh Soal Dan Pembahasan Ppt Download

Contoh Soal Populasi Dan Sampel Dalam Penelitian Dapatkan Contoh

Yuk Belajar Statistik Inferensial Bersama Quipper Blog Quipper Blog

Yuk Kerjakan Contoh Soal Tpa Visual Ini Biar Kamu Lebih Siap Hadapi Sbmptn

Dr Muhamad Ibnu Sina Tim Ukmppd Fku Malahayati Ppt Download
![]()
Pert 3 Statistik Teknik Penarikan Sampel

Populasi Sampel Dan Distribusi Teori Populasi Vs Sampel
![]()
Systematic Random Sampling Jenis Populasi Belajar Statistik
![]()
Doc Contoh Soal Metode Sampling Random Sederhana Gazeel Gaming Academia Edu
102 Contoh Soal Simple Random Sampling Jawaban Dikdasmen

Pert 3 Statistik Teknik Penarikan Sampel

Contoh Soal Dan Pembahasan Ppt Download

Statistika Tugas 2 Yuliaseptiani

Contoh Soal Sosiologi Kelas 10 Semester 2 Tentang Penelitian Sosial
![]()
Distribusi Sampling Sebaran Penarikan Contoh Muhammad Kahfi Academia Edu

Populasi Sampel Dan Distribusi Teori Populasi Vs Sampel
Cluster Random Sampling Dan Teknik Sampling Lainnya Lengkap Dengan Contoh

Pengertian Simple Random Sampling Jenis Dan Contoh Uji Statistik
Contoh Soal Dan Jawaban Teknik Sampling Studi Indonesia

Contoh Soal Un Penelitian Sosial Dan Jawabannya Soalfismat Com
Contoh Soal Systematic Random Sampling Jejak Pelajar
![]()
Doc Bab 4 Metode Penarikan Sampel Acak Sistematik Andri Irawan Academia Edu

Statistika Dan Penelitian Free Learning Page 3

Soal Persamaan Dasar Akuntansi Lanjutan Digital Story Of Devitagnes Akuntansi Persamaan Tanggal

Contoh Soal Jawaban Biostatistika Intermediate Muhyidin Skm

Contoh Soal Essay Tentang Ruang Lingkup Biologi Beserta Jawabannya

Manajemen Penelitian Data Dan Teknik Pengambilan Sample
![]()
Contoh Soal Metode Sampling Random Seder
![]()
Doc Statistika 2 Distribusi Sampling Distribusi Penarikan Sampel Larisha Syofyan Academia Edu

Soal Unsur Instrinsik Drama Teks Drama Untuk Soal Nomor 1 3 Edo Mau Pergi Ke Mana Yuk Sore Sore Begini Ayuk Drama Teks Person

Populasi Dan Sampel Ppt Download
![]()
Top Pdf Akuntansi Contoh Soal Metode Periodik Da 123dok Com

3 Contoh Purposive Sampling Dalam Penelitian

Snowball Sampling Adalah Pengertian Kekurangan Dan Kelebihan

Pengertian Cluster Sampling Lengkap Dengan Cara Dan Contohnya

Yuk Belajar Statistik Inferensial Bersama Quipper Blog Quipper Blog

Contoh Soal Kasus Uji Kompetensi Sheet Music Uji Person

Pengertian Populasi Sampel Jenis Sampling Dan Teknik Sampling Fatkhan Web Id

Statistika 3 Sampling Dan Distribusi Sampling Ppt Download
![]()
Contoh Soal Metode Sampling Random Seder
![]()
Top Pdf Contoh Soal Ramalan Penjualan Metode Lea 123dok Com

Pert 3 Statistik Teknik Penarikan Sampel

Neraca Saldo Percobaan Perusahaan Dagang Buku Keuangan Akuntansi Keuangan Neraca

Ppt Distribusi Sampling Powerpoint Presentation Free Download Id 3781937

Distribusi Sampling Eman Mendrofa

Contoh Cover Depan Makalah Universitas Terbuka Contoh Cover Depan Makalah Universitas Terbuka Contoh Cover Makalah Yang Di 2021 Universitas Sekolah Menengah Ide Judul
Contoh Soal Dan Pembahasan Statistika Pendugaan
Populasi Sampel Tabel Dan Grafik Dalam Statistika Uncategorized Tejo Blog

Soal Dan Jawaban Yang Berkaitan Dengan Pendugaan Parameter Guru Paud
Contoh Soal Pisa Bahasa Indonesia Dan Jawabannya Guru Paud

Contoh Soal Psikotes Polri Dan Jawabannya Pdf 48 Krautscape Contoh Soal Psikotes Masuk Tn Matematika Dasar Psikologi Buku

Contoh Soal Pisa Bahasa Indonesia Smp Guru Paud

Contoh Soal Psikotes Soal Cerita Hitungan Contoh Tes Psikotes Soal Cerita Contoh Soal Cerita Untuk Psikotes Contoh Soal Cerita Dalam P Tiu Data Analyst Antonym
Contoh Soal Dan Jawaban Dari Populasi Dan Sampel Peranti Guru

Contoh Soal Ujian Tk Dan Paud Pusat Pendidikan Berhitung Matematika Dasar Lembar Kerja Matematika Belajar Menghitung
![]()
Top Pdf Contoh Soal Ramalan Penjualan Metode Lea 123dok Com

Metodologi Penelitian Dr Muhamad Ibnu Sina Tim Ukmppd

Teknik Sampling Sebagai Kontrol Kualitas Lingkungan Indonesia Environment Energy Center

Sebaran Penarikan Contoh Pdf Free Download

Digital Story Of Devitagnes Soal Persamaan Dasar Akuntansi Lanjutan Akuntansi Persamaan Buku

Contoh Soal Populasi Dan Sampel Beserta Jawabannya Dengan

Quota Sampling Adalah Pengertian Ulasan Dan Contoh

Pengumpulan Dan Pengolahan Data Oleh Sri Widaningsih St

Soal Dan Jawaban Yang Berkaitan Dengan Pendugaan Parameter Guru Paud
Contoh Penarikan Contoh Berlapis

Yuk Belajar Statistik Inferensial Bersama Quipper Blog Quipper Blog








